When Mixtures Beat Local ELBO In Nonlinear Filtering

Small strict mixture filters with IWAE and FIVO-style objectives closed much of the nonlinear calibration gap while staying reference-free.

Series: VBF Experiments, April 2026

The nonlinear objective-repair branch left a clear gap: the best fully unsupervised strict Gaussian filter improved robustness, but still had weak coverage and very low variance ratios. The next branch tested whether that was an objective problem, a posterior-family problem, or a coupled problem.

The branch added:

The headline constraint stayed the same. Fully unsupervised rows could use observations and the known generative model, but not grid moments, true latent states, reference variance targets, or posterior-shape targets.

K2 Mixture IWAE

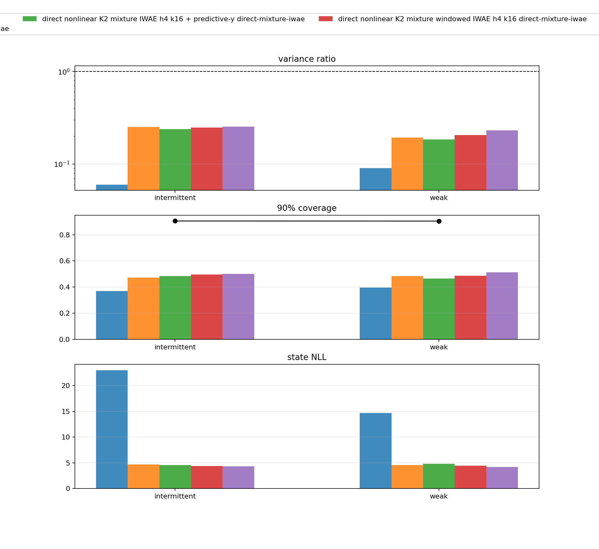
The K2 mixture IWAE follow-up was the cleanest early sign that posterior family and objective mattered together. On weak and intermittent observations, the direct K2 mixture windowed IWAE variants substantially improved state NLL and coverage relative to the promoted strict Gaussian baseline.

Mixture IWAE sweep

Aggregate rows from outputs/nonlinear_direct_mixture_iwae_followup_1000:

PatternModelstate NLLcov90var ratio
intermittentpromoted strict Gaussian baseline22.9920.3710.060
intermittentK2 windowed IWAE h4 k164.4140.4970.247
intermittentK2 windowed IWAE h4 k324.3350.5010.254
weakpromoted strict Gaussian baseline14.6720.3960.090
weakK2 windowed IWAE h4 k164.4480.4870.206
weakK2 windowed IWAE h4 k324.2200.5120.232

The result was not just a likelihood trick. Coverage and variance ratio moved in the right direction too. The filters were still not at grid-reference calibration, but the failure mode was much less severe than local ELBO or the earlier strict Gaussian objective repair.

FIVO Bridge And Local Projection

The branch also tested FIVO-style paths. A direct FIVO objective without the bridge was poor in the initial pilot, with weak/intermittent NLLs in the tens. The FIVO bridge variants were much stronger:

SuitePatternRowstate NLLcov90var ratio
K2 FIVO bridgeweakn162.8990.7650.485
K2 FIVO bridgeintermittentn162.9380.7420.450
K2 local ADFweakbeta 0.32.8380.7890.536
K2 local ADFintermittentbeta 0.32.8470.7820.523

These rows were reference-free under the training-signal rules, but they changed the algorithmic class: they looked less like amortized local ELBO training and more like structured local projection or filtering-objective design. That was useful. It showed that the model did not need hidden context to improve dramatically; it needed a better way to handle local nonlinear ambiguity.

K4 Spread Candidates

K4 spread variants made the alias structure explicit by initializing components with \(2\pi\)-scale spread. The K4 Pareto report compared state-density and late predictive-y variants against a bootstrap particle filter reference.

PatternPF n512 NLLK4 spread NLLK4 cov90K4 var ratioK4 pred-y NLL
intermittent3.1402.6400.7860.6190.362
random normal4.2883.2780.7470.4770.575
sinusoidal3.3003.1630.8300.6190.514
weak2.9462.7240.9181.0820.329
zero2.8432.7570.9351.1900.263

The late predictive-y row was a secondary Pareto candidate. It improved predictive-y NLL slightly, with state NLL cost no larger than 0.03, but the gains were small relative to the remaining predictive gap.

Interpretation

The week’s midpoint conclusion changed after these runs. The strict Gaussian objective-repair result was a partial success. The mixture and projection results showed something stronger:

A reference-free nonlinear filter can get close to grid-scale state NLL when the update family and local projection objective respect the sine model’s alias structure.

The remaining gap moved from state density to predictive normalizer quality. Later diagnostics confirmed that the evaluator was already using exact mixture quadrature for predictive-y scoring, so the predictive gap was not just a Gaussian moment approximation artifact.

Source artifacts: